Pesquisa comparativa foi feita em mais de 30 estabelecimentos diferentes
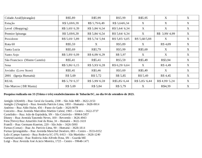
O Procon de Tubarão divulgou nesta quarta-feira, dia 6, uma pesquisa comparativa de preços de combustíveis no município, realizada em 33 estabelecimentos diferentes.
A gasolina comum de menor preço foi encontrada pelo valor de R$ 5,24, enquanto a mais cara por R$ 6,39. A gasolina aditivada mais barata foi encontrada por R$ 5,41 e a de maior preço ficou em R$ 6,59.
O Diesel S10 foi encontrado a R$ 5,59 e o Diesel comum a R$ 5,49. O etanol de menor preço custa R$ 3,99 na cidade, enquanto o Gás Veicular Natural (GNV) foi achado por R$ 4,98.
Em caso de persistências de dúvidas, ou denúncias a serem realizadas, o consumidor pode encontrar em contato com o Procon de Tubarão através do telefone (48) 3621-9818, ou no e-mail: procon@tubarao.sc.gov.br.
.jpg)
.jpg)